引用本文: 李茁鈺, 劉凱, 張維漢, 陳心足, 胡建昆, SIGES 研究組. 全球及中國胃癌的流行病學特點及趨勢:2018–2022《全球癌癥統計報告》解讀. 中國普外基礎與臨床雜志, 2024, 31(10): 1236-1245. doi: 10.7507/1007-9424.202409074 復制
版權信息: ?四川大學華西醫院華西期刊社《中國普外基礎與臨床雜志》版權所有,未經授權不得轉載、改編
2022年全球和我國的首位癌癥死因均為肺癌,全球第2、3位癌癥死因分別是結直腸癌和肝癌,而我國第2、3位癌癥死因分別為肝癌和胃癌[1]。總體來看,胃癌仍是全球常見的惡性腫瘤,預后相對較差,嚴重威脅人類健康[2]。根據國際癌癥研究機構的統計數據,2022年全球胃癌新發病例約96.8萬例,因胃癌死亡病例約66.0萬例,發病率與死亡率均居于全球第5位[1]。超過70%的胃癌新發病例發生在亞洲,約50%的病例發生在亞洲東部,主要集中在中國[3]。中國胃癌發病例數和死亡例數分別占全球胃癌發病和死亡的37.0%和39.4%[1]。盡管20世紀60年代末我國啟動了系統性癌癥防控工作,但我國依然是胃癌高發國家,疾病負擔嚴重,仍是癌癥防治的重點癌種[4-5]。本研究收集了2018年、2020年、2022年的癌癥登記GLOBOCAN數據[6-10],對全球及中國胃癌的流行現狀進行描述性分析,旨在為我國胃癌防控發展提供基礎性數據參考。
1 2018–2022年全球胃癌的流行情況
1.1 全球胃癌發病情況
從2018、2020、2022年GLOBOCAN報道數據看,全球胃癌總體的粗發病率(crude incidence rate,CIR)和年齡標準化發病率(age-standardized incidence rate,ASIR)呈降低趨勢,但按癌種發病例數順位排名這3年一直保持在第5位(表1);其中男性和女性胃癌的CIR和ASIR與全人群呈現相同的降低趨勢,按癌種發病例數順位排名在這3年均分別保持在第4位和第7位。雖然CIR和ASIR在這3年男女比差異有輕微縮小,但至2022年時男性的CIR和ASIR仍分別是女性的1.8倍和2.1倍。2022年全球新發胃癌病例為96.8萬例(占所有惡性腫瘤的4.9%),其CIR為12.3/10萬、ASIR為9.2/10萬。全球國家/地區中,東亞和東歐的CIR最高,非洲大陸的CIR最低;ASIR最高是蒙古(35.5/10萬),最低為馬爾代夫(0.67/10萬);在阿富汗、伊朗、吉爾吉斯斯坦、塔吉克斯坦等中西亞國家,胃癌是男性最常見的癌癥。
1.2 全球胃癌死亡情況
全球胃癌總體CMR和ASMR均呈持續降低趨勢,按癌種死亡例數順位排名從第3位降至第5位(表1);男性和女性胃癌按死亡例數順位排名至2022年時分別降至第4位和第6位。雖然CMR和ASMR在這3年男女比差異有輕微縮小,但至2022年時,但至2022年時男性的CMR和ASMR仍分別是女性的1.8倍和2.2倍。2022年全球胃癌死亡約66.0萬例(占全球惡性腫瘤死亡的6.8%),其CMR為8.4/10萬、ASMR為6.1/10萬。人群病死指數(population mortality index,PMI)的測算方式為PMI(%)=CMR/(CIR+CMR),或PMI(%)=ASMR/(ASIR+ASMR)。PMI可宏觀反映特定人群的疾病病死風險,體現該人群的三級預防、規范治療等全生命周期綜合防控管理的整體水平,若>40%則說明為病死高風險癌種,其防控總體水平低。全球總體、男性、女性的胃癌PMI均呈逐步降低趨勢,其中總體PMI從2018年的43.3%降至2022年的40.6%。全球國家/地區中,ASMR最高和最低同樣分別是蒙古(31.5/10萬)和馬爾代夫(0.67/10萬),在塔吉克斯坦胃癌是女性癌癥死亡的主要原因。
1.3 人類發展指數的影響
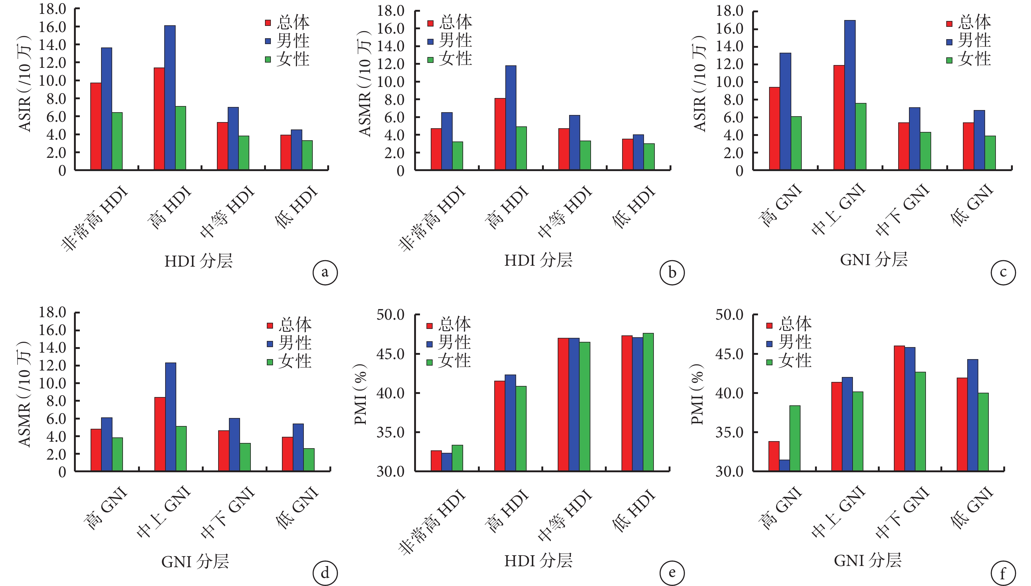
人類發展指數(human development index,HDI)是對人類發展關鍵方面的一種綜合衡量,主要包括健康、教育及生活水平3個維度。健康維度是通過出生時的預期壽命來評估;教育維度是通過25歲及以上成年人的平均受教育年限和入學年齡兒童的預期受教育年限來衡量;生活水平維度是通過人均國民總收入(gross national income,GNI)來衡量。
按2022年數據,非常高和高HDI國家/地區的胃癌ASIR和ASMR高于中等和低HDI國家/地區,在各HDI分層國家/地區的男性ASIR或ASMR均高于女性(圖1a、1b)。高HDI國家/地區的胃癌新發病例數(47.9萬例)占全球的49.5%,ASIR為11.4/10萬,對應胃癌死亡例數占全球的35.5%,ASMR為8.1/10萬。中等和低HDI國家/地區的胃癌新發病例數(13.8萬)占全球的13.3%,ASIR分別為5.3/10萬和3.9/10萬;死亡例數占全球的18.4%,ASMR分別為4.7/10萬和3.5/10萬。另按GNI分層,胃癌流行病學特征表現出與按HDI分層相似的趨勢,中上GNI國家/地區的ASIR和ASMR最高,同樣各分層國家/地區的男性ASIR和ASMR均高于女性(圖1c、1d)。
圖1
示2022年全球國家/地區按HDI分層的胃癌ASIR(a)和ASMR(b),按GNI分層的胃癌ASIR(c)和ASMR(d),以及按HDI分層的PMI(e)和按GNI分層的PMI(f)
但評估PMI指標時,非常高HDI或高GNI國家/地區的PMI均低于其他分層國家/地區,表現最優(圖1e、1f),其中按HDI分層呈現梯度性差異。在非常高HDI、低HDI、高GNI國家/地區的女性胃癌PMI高于男性,特別是在高GNI國家/地區PMI的男女差異明顯。
2 2018–2022年中國胃癌的流行情況
2.1 中國的胃癌發病情況
從2018年到2022年GLOBOCAN報道數據(表2)看,中國胃癌總體的CIR和ASIR均呈降低趨勢(至2022年時其CIR為25.4/10萬、ASIR為13.7/10萬),其降幅明顯超過全球降幅,但仍均高于全球水平(CIR為12.3/10萬、ASIR為9.2/10萬);其中男性和女性胃癌的CIR和ASIR與總體呈現相似的降低趨勢,雖然其男女比差異有輕微地縮小,但男性的CIR和ASIR仍分別是女性的2.1倍和2.3倍,我國男女性別差異較全球差異更大。至2022年,中國新發胃癌病例數為35.8萬例(占全國所有惡性腫瘤的7.4%),雖呈下降趨勢但仍高于全球胃癌占所有惡性腫瘤比例(4.9%),按此順位排名降至第5位,并且中國新發胃癌在全球占比從2018年的44.1%降至2022年的37.0%;男性和女性按新發病例數順位排名分別保持在第4位和第6位。
2.2 中國的胃癌死亡情況
結果見表2。從表2可見,從2018年到2022年,中國胃癌總體的CMR和ASMR均呈持續降低趨勢(至2022年時其CMR為18.4/10萬、ASMR為9.4/10萬),其降幅明顯超過全球降幅,但仍均高于全球水平(CMR為8.4/10萬、ASMR為6.1/10萬);其中男性和女性胃癌的CMR和ASMR與總體情況呈現相似的降低趨勢;其男女比差異有所增大,男性的CMR和ASMR仍分別是女性的2.2倍和2.6倍,男女差異明顯較全球差異更大。至2022年我國胃癌死亡病例數(26.0萬例)順位排名降至第3位,男性和女性按胃癌死亡病例數順位排名分別保持在第3位和第4位;我國胃癌死亡病例占全國所有惡性腫瘤的10.1%,雖呈下降趨勢但仍高于全球胃癌死亡病例占所有惡性腫瘤占比(6.8%);我國胃癌占全球所有胃癌死亡的比例從2018年的49.9%降至2022年的39.5%。中國的總體、男性、女性胃癌人群PMI均呈逐步降低趨勢,其中總體PMI從2018年的46.1%降至2022年的42.0%,但至2022年時仍高于全球PMI指數(40.6%)。
我國胃癌ASMR分布存在一定地域差異,按男女性別ASMR地域分布特征大致趨同(表3),西部地區特別是青藏高原地區胃癌死亡負擔最重,包括西藏自治區、青海省、甘肅省、寧夏回族自治區,此外中東部地區的山西省、安徽省、福建省的ASMR亦較高。
3 2022年全球和中國年齡別胃癌的流行病學現狀
3.1 年齡別胃癌發病情況
全球和中國的胃癌ASIR及其累積風險(cumulative risk,CR)均呈現出高度的年齡相關性,即隨著年齡組別的增大ASIR及其CR隨之增高(表4、圖2a)。以ASIR>10/10萬為高發病率拐點,全球總體、男性、女性均在≥50歲時進入高發病率階段;中國總體、男性則在≥45歲時進入高發病率階段,而中國女性仍是在≥50歲時進入高發病率階段。中國各年齡別的總體、男性、女性ASIR均高于全球相應ASIR水平,進入高發病率年齡階段后中國ASIR高于全球ASIR的幅度隨年齡增大進一步擴大;同樣其CR也呈相同的對比關系。此外,無論是全球還是中國,各年齡段的男性ASIR均高于女性ASIR,進入高發病率年齡階段后男性ASIR高于女性ASIR的幅度且隨年齡增大進一步擴大。
圖2
示全球及中國各年齡別總體、男性、女性的胃癌ASIR(a)、ASMR(b)、PMI(c)及中國-全球PMI比率(d)的折線圖
3.2 年齡別胃癌死亡情況
相似地,全球和中國的胃癌ASMR及其CR均呈現出高度的年齡相關性,即隨著年齡的增大ASMR及其CR隨之增高(表5、圖2b)。以ASMR>10/10萬為高死亡率拐點,全球總體、男性、女性分別在≥55歲、≥50歲、≥60歲時進入高死亡率階段;中國總體、男性、女性則分別在≥50歲、≥50歲、≥60歲時進入高死亡率階段。中國各年齡別的總體、男性、女性ASMR均高于全球相應ASMR水平,進入高死亡率年齡階段后中國ASMR高于全球ASMR的幅度隨年齡增大進一步擴大;同樣其CR也呈相同的對比關系。此外,無論全球或中國角度,各年齡段的男性ASMR均高于女性ASMR,進入高發病率年齡階段后男性ASMR高于女性ASMR的幅度隨年齡增大進一步擴大。基于ASIR和ASMR測算PMI和中國-全球PMI比率,中國總體、男性、女性胃癌PMI在≥70歲、≥65歲、≥70歲時PMI超過40%(圖2c),中國總體、男性、女性胃癌PMI分別在≥60歲、≥60歲、≥65歲時高于全球相應PMI(圖2d)。
4 討論
本研究收集分析了2018年、2020年、2022年GLOBOCAN癌癥登記中胃癌相關流行病學數據。與全球胃癌發病和死亡情況比較,雖然我國胃癌發病率和死亡率均呈持續降低趨勢,但是新發和死亡例數仍是全球首位,是我國重要的癌癥疾病負擔之一。同樣,從PMI評估結果來看,我國的胃癌病例病死風險呈下降趨勢,但仍高于全球水平。HDI、GNI、地區分布、性別、年齡是影響胃癌發病和病死風險的相關因素。
自20世紀60年代末,我國啟動了癌癥防治相關工作并取得長足進步,但癌癥人群發病率和死亡率仍居高不下[5]。《“健康中國2030”規劃綱要》提出強化全民覆蓋的重大疾病防治公共衛生服務,期望到2030年總體癌癥5年生存率提高15%[11]。但從本研究結果看,我國胃癌防治仍面臨極大的壓力與挑戰。癌癥防治是一項極為體系性的工作,我國胃癌防治主要的發力點為全人群癌防健康意識、基層三級預防體系建設、規模性人群篩查項目支撐、系統性高危人群監測、規范化癌癥診療技術推廣、全生命周期患者管理與照護等方面,均有待持續發力加強。例如四川大學華西醫院與韓國延世大學的胃癌外科病例登記數據庫頭對頭比較分析發現,2006–2010年期間我國和韓國的5年總體生存率分別為54.3%和81.4%,其中TNM分期Ⅰ期分別為20.6%和58.8%,TNM分期Ⅳ期接受手術者分別為10.6%和2.9%[12]。可見以上不足導致的突出結構性問題為我國胃癌的早期構成比和規范化診療普及性不高,時至今日它仍為主要突出矛盾[13-14]。
從胃癌病因和危險因素管理角度來看,胃癌發病具有多因素致病的特點,主要包括幽門螺桿菌(Helicobacter pylori,Hp)感染、特定的飲食習慣、不良生活方式、相關病史、遺傳因素等[15]。因此,胃癌的一級預防也具有復雜性、綜合性的特點與困難[16]。Hp是WHO認定的胃癌的一類致病微生物,規模性人群篩查和根除治療對系統性預防胃癌具有重要作用[11],但目前我國尚未建立有組織的規模性人群Hp篩查與根除項目[17]。從城市健康體檢人群的橫斷面序列研究發現來看,以四川大學華西醫院為例,2009–2021年期間Hp的現患率從53.1%降至30.7%,而且Hp現患率高峰年齡從50~59歲段遷移到60~69歲段[18]。即使對于早期胃癌在內鏡治療后,篩查和根除治療Hp感染同樣可降低異時性胃癌和癌前病變的風險[19]。城市人群的Hp控制呈良好發展態勢,但農村人口的研究數據相對較少,總體來看癌癥死亡率和生命損失年數率均是農村地區高于城市地區[20]。同時少數民族地區如藏族人群的Hp現患率仍然較高,應進一步個體化設計人群Hp篩查和根除治療的規劃[21-22]。此外,研究發現致癌病毒Epstein-Barr病毒、乙型肝炎病毒、人類巨細胞病毒、人類乳頭瘤病毒、John Cunningham病毒與胃癌發病風險存在相關性,在胃癌預防和篩查策略中應進一步關注[23-25]。家族性胃癌史是胃癌的高危因素,可能與多因素共暴露相關,如Hp感染率增高、攜帶CDH1基因突變等[26]。遺傳性彌漫性胃癌是一種常染色體顯性遺傳疾病,CDH1等基因突變為早期預測相關暴露因子[27]。但對攜帶CDH1基因突變的高風險對象,實施預防性全胃切除作為一級預防技術的理論體系尚需健全,實踐經驗尚需積累,還有不少的科學問題需要探究[28]。
胃癌疾病負擔的增加與西方生活方式相關,如肥胖、體力活動不足、高膽固醇、吸煙等。在對中國23個潛在可改變危險因素對癌癥負擔造成的差異比較中,除以上因素外還加上了加工肉類和泡菜的攝入[29]。我國胃癌死亡分布存在一定的地域差異[10],按男女性別的ASMR地域分布特征大致趨同,西部地區特別是青藏高原地區胃癌死亡負擔最重,此外中東部地區的少數省份胃癌死亡負擔亦重。近年來中國大部分地區的胃癌死亡率大幅度下降,但農村地區的下降幅度低于城市地區[10]。不同省份地區的差異與經濟發展不平衡、醫療衛生資源水平參差不齊有關,也有部分可以用相關危險因素來解釋。從各省胃癌相關危險因素的人口歸因分數(population-attributable fractions,PAF)來看,男性在西藏自治區、甘肅省、青海省、河南省、安徽省的Hp感染PAF較高,福建省、浙江省、貴州省食用泡菜的PAF較高,海南省、湖南省、重慶市食用加工肉類的PAF較高;女性在西藏自治區、甘肅省、青海省的Hp感染PAF較高,貴州省、福建省、浙江省食用泡菜的PAF較高,重慶市、西藏自治區、湖南省食用加工肉類的PAF較高[29]。
日本作為全球胃癌癌癥負擔最重的國家之一,從1983年已將胃癌篩查計劃作為一項在全國范圍實施的公共政策,日本政府根據修訂指南的建議在2016年引入胃癌內鏡篩查作為公共衛生政策[30]。為保證社區胃癌內鏡篩查質量,日本還制定了內鏡檢查的質量保證手冊[31],為避免頻繁檢查,以減少假陽性結果和過度診斷,建議目標年齡組為≥50歲,篩查間隔為2年,將活檢率保持在10%以內。日本通過保證內鏡篩查的質量在全國范圍內有效地推行以人群為基礎的篩查,降低胃癌的死亡率。韓國國家癌癥篩查計劃[32]每2年為≥40歲的成人提供上消化道序列檢查或上消化道內鏡檢查,對胃癌篩查結果發現,與從未篩查過的胃癌患者相比,曾經篩查過的胃癌患者長期生存率顯著改善,且其死于胃癌的風險降低了33%[32]。日本、韓國把胃癌篩查作為全國性的篩查項目,政府為特定年齡段的人群補貼以提供篩查[33]。目前,我國國家層面的癌癥防治政策制定還有待進一步優化,建議加快制定與完善供給型和需求型政策工具,增加癌癥防治政策的拉力與推力,使政策工具各方面平衡協調銜接與減少碎片化,逐步推進我國癌癥防治事業的高質量發展[34]。
自2005年以來,我國已在多地陸續試點開展了上消化道癌篩查項目[35],篩查項目是選擇在一些高危險地區展開的。國家上消化道早診早治項目針對高風險農村地區符合納入標準人群進行上消化道內鏡檢查[36]。中國城市癌癥篩查項目重點關注城市地區的5種流行癌癥,包括肺癌、乳腺癌、結直腸癌、上消化道癌癥(胃癌和食管癌)和肝癌,最初覆蓋9個省。每個省市自治區最終會有10 000人接受上消化道癌癥篩查[37]。相比日本和韓國,我國胃癌篩查的覆蓋面較窄,無法做到全國性的篩查,這是由于我國國土面積遼闊、人口基數大,醫療資源和成本有限、非高風險人群接受度低等原因導致的。對于胃癌篩查的早診早治方針也有需要大規模前瞻性研究來進行細化的地方,比如胃癌篩查的起止年齡,篩查與檢測間隔,如何提高早期胃癌的發現率、降低漏診率。此外,我國還缺乏完整、完善的胃癌篩查質量控制和評價考核體系,管理仍相對較為粗放,缺少有效的信息化管理手段。
目前我國國家衛生健康委員會最新發布的胃癌篩查與早診早治方案[15]中,高風險人群的定義標準為年齡+高危因素,即年齡≥45歲且符合以下任意1項:① 居住于胃癌高發地區(以縣級行政區為單位界定,以2000年中國人口結構為標準的ASIR>20/10萬);② 父母、子女、兄弟姐妹等親屬中有胃癌病史;③ 尿素呼氣試驗、血清Hp抗體、糞便Hp抗原檢測任一陽性;④ 吸煙、重度飲酒、高鹽飲食、腌制食品等不良生活方式和飲食習慣;⑤ 患有慢性萎縮性胃炎、胃潰瘍、胃息肉、手術后殘胃、肥厚性胃炎、惡性貧血等疾病。胃癌篩查推薦內鏡檢查,對發現的可疑病灶采用特殊內鏡技術檢查并進行活檢,不能耐受常規內鏡檢查者可進行麻醉/鎮靜內鏡或經鼻超細內鏡檢查,也可考慮使用磁控膠囊胃鏡。胃癌高風險人群原則上每5年進行1次內鏡檢查,以下情況建議縮短篩查間隔:局限于胃竇或胃體的萎縮性胃炎或腸上皮化生患者,每3年進行1次內鏡檢查;萎縮累及胃底或全胃,每年進行1次內鏡檢查;低級別上皮內瘤變每年進行1次內鏡檢查;高級別上皮內瘤變每3~6個月進行1次內鏡檢查。此外,血清學等檢測(如胃蛋白酶原-Ⅰ/-Ⅱ、胃泌素-17等)不建議單獨作為篩查項目,但可以作為內鏡篩查的前置檢測[38-39],序貫篩查方案的設計尚需進一步研究其有效性和經濟性[40]。其他傳統血清學腫瘤標志物[41-42]或新型檢測如體液活檢[43]等尚不作為指南推薦,但仍有繼續深入研究的科學價值。雖然從國家衛生健康委員會層面發布了胃癌篩查與早診早治方案,但方案仍需不斷優化以提高檢出率和效果成本比。
目前縣區級及以上醫療機構已較為普遍地開展了健康體檢業務,下一步應加強的是從健康體檢業務向健康管理事業發展。以縣區癌癥防治中心為牽頭機構,推動已開展了健康體檢業務的醫療機構落實上述篩查方案,提高胃癌高危人群識別的專業化水平,構建屬地化胃癌高危人群隊列并加強全周期的疾病監測[44]。其中信息化促進基層癌防工作體系化、智慧化是新質生產力的重要表現之一[45],例如區塊鏈技術應用于跨機構間體檢、門診、住院數據的互聯互通和分布式存儲,胃癌高危人群的人工智能識別、大數據隊列精細化管理等。進一步可通過將地市州癌防體系建設與互聯互通信息化建設相結合[46],按照“互聯互通、數據治理、應用挖掘”路徑,支持建立癌癥及其高危人群的人群隊列,加強全生命周期服務與管理,同時加強有組織的隨訪和科學觀察。四川省城市癌癥早診早治項目研究顯示,人群癌癥高危率較高,臨床篩查依從性較好,通過篩查可及早發現癌前病變和早期癌癥患者,但男性或老齡群體的癌防普及尚需加強[47]。
5 總結
與全球胃癌發病和死亡情況比較,雖然我國胃癌發病率和死亡率均呈持續降低趨勢,但是新發和死亡例數仍居全球首位,是我國重要的癌癥疾病負擔之一。同樣,以PMI評估來看,我國的胃癌病例病死風險呈下降趨勢,但仍高于全球水平。HDI、GNI、地區分布、性別、年齡是影響胃癌發病和病死風險的相關因素。我國胃癌防治主要的發力點應聚焦全人群癌防健康意識、基層三級預防體系建設、規模性人群篩查項目支撐、系統性高危人群監測、規范化癌癥診療技術推廣、全生命周期患者管理與照護等方面。
重要聲明
利益沖突聲明:本文全體作者閱讀并理解了《中國普外基礎與臨床雜志》的政策聲明,均沒有相互競爭的利益沖突。
作者貢獻聲明:李茁鈺負責數據收集、分析、解釋,以及論文撰寫;劉凱、張維漢負責學術指導和分析解釋;陳心足為 SIGES 項目組主要負責人,負責項目立項、分析解釋、論文撰寫,以及學術指導;胡建昆負責學術指導與學術監督。
志謝
感謝“四川地區胃癌早期檢測和篩查策略研究項目”(Sichuan Gastric Cancer Early Detection and Screening Research Program,SIGES)的支持,以及感謝四川大學醫學生科研社團“華西胃癌外科志愿者團隊”(Volunteer Team of Gastric Cancer Surgery of West China Hospital,Sichuan University)所有成員對SIGES項目相關研究的貢獻。
2022年全球和我國的首位癌癥死因均為肺癌,全球第2、3位癌癥死因分別是結直腸癌和肝癌,而我國第2、3位癌癥死因分別為肝癌和胃癌[1]。總體來看,胃癌仍是全球常見的惡性腫瘤,預后相對較差,嚴重威脅人類健康[2]。根據國際癌癥研究機構的統計數據,2022年全球胃癌新發病例約96.8萬例,因胃癌死亡病例約66.0萬例,發病率與死亡率均居于全球第5位[1]。超過70%的胃癌新發病例發生在亞洲,約50%的病例發生在亞洲東部,主要集中在中國[3]。中國胃癌發病例數和死亡例數分別占全球胃癌發病和死亡的37.0%和39.4%[1]。盡管20世紀60年代末我國啟動了系統性癌癥防控工作,但我國依然是胃癌高發國家,疾病負擔嚴重,仍是癌癥防治的重點癌種[4-5]。本研究收集了2018年、2020年、2022年的癌癥登記GLOBOCAN數據[6-10],對全球及中國胃癌的流行現狀進行描述性分析,旨在為我國胃癌防控發展提供基礎性數據參考。
1 2018–2022年全球胃癌的流行情況
1.1 全球胃癌發病情況
從2018、2020、2022年GLOBOCAN報道數據看,全球胃癌總體的粗發病率(crude incidence rate,CIR)和年齡標準化發病率(age-standardized incidence rate,ASIR)呈降低趨勢,但按癌種發病例數順位排名這3年一直保持在第5位(表1);其中男性和女性胃癌的CIR和ASIR與全人群呈現相同的降低趨勢,按癌種發病例數順位排名在這3年均分別保持在第4位和第7位。雖然CIR和ASIR在這3年男女比差異有輕微縮小,但至2022年時男性的CIR和ASIR仍分別是女性的1.8倍和2.1倍。2022年全球新發胃癌病例為96.8萬例(占所有惡性腫瘤的4.9%),其CIR為12.3/10萬、ASIR為9.2/10萬。全球國家/地區中,東亞和東歐的CIR最高,非洲大陸的CIR最低;ASIR最高是蒙古(35.5/10萬),最低為馬爾代夫(0.67/10萬);在阿富汗、伊朗、吉爾吉斯斯坦、塔吉克斯坦等中西亞國家,胃癌是男性最常見的癌癥。
1.2 全球胃癌死亡情況
全球胃癌總體CMR和ASMR均呈持續降低趨勢,按癌種死亡例數順位排名從第3位降至第5位(表1);男性和女性胃癌按死亡例數順位排名至2022年時分別降至第4位和第6位。雖然CMR和ASMR在這3年男女比差異有輕微縮小,但至2022年時,但至2022年時男性的CMR和ASMR仍分別是女性的1.8倍和2.2倍。2022年全球胃癌死亡約66.0萬例(占全球惡性腫瘤死亡的6.8%),其CMR為8.4/10萬、ASMR為6.1/10萬。人群病死指數(population mortality index,PMI)的測算方式為PMI(%)=CMR/(CIR+CMR),或PMI(%)=ASMR/(ASIR+ASMR)。PMI可宏觀反映特定人群的疾病病死風險,體現該人群的三級預防、規范治療等全生命周期綜合防控管理的整體水平,若>40%則說明為病死高風險癌種,其防控總體水平低。全球總體、男性、女性的胃癌PMI均呈逐步降低趨勢,其中總體PMI從2018年的43.3%降至2022年的40.6%。全球國家/地區中,ASMR最高和最低同樣分別是蒙古(31.5/10萬)和馬爾代夫(0.67/10萬),在塔吉克斯坦胃癌是女性癌癥死亡的主要原因。
1.3 人類發展指數的影響
人類發展指數(human development index,HDI)是對人類發展關鍵方面的一種綜合衡量,主要包括健康、教育及生活水平3個維度。健康維度是通過出生時的預期壽命來評估;教育維度是通過25歲及以上成年人的平均受教育年限和入學年齡兒童的預期受教育年限來衡量;生活水平維度是通過人均國民總收入(gross national income,GNI)來衡量。
按2022年數據,非常高和高HDI國家/地區的胃癌ASIR和ASMR高于中等和低HDI國家/地區,在各HDI分層國家/地區的男性ASIR或ASMR均高于女性(圖1a、1b)。高HDI國家/地區的胃癌新發病例數(47.9萬例)占全球的49.5%,ASIR為11.4/10萬,對應胃癌死亡例數占全球的35.5%,ASMR為8.1/10萬。中等和低HDI國家/地區的胃癌新發病例數(13.8萬)占全球的13.3%,ASIR分別為5.3/10萬和3.9/10萬;死亡例數占全球的18.4%,ASMR分別為4.7/10萬和3.5/10萬。另按GNI分層,胃癌流行病學特征表現出與按HDI分層相似的趨勢,中上GNI國家/地區的ASIR和ASMR最高,同樣各分層國家/地區的男性ASIR和ASMR均高于女性(圖1c、1d)。
圖1
示2022年全球國家/地區按HDI分層的胃癌ASIR(a)和ASMR(b),按GNI分層的胃癌ASIR(c)和ASMR(d),以及按HDI分層的PMI(e)和按GNI分層的PMI(f)
但評估PMI指標時,非常高HDI或高GNI國家/地區的PMI均低于其他分層國家/地區,表現最優(圖1e、1f),其中按HDI分層呈現梯度性差異。在非常高HDI、低HDI、高GNI國家/地區的女性胃癌PMI高于男性,特別是在高GNI國家/地區PMI的男女差異明顯。
2 2018–2022年中國胃癌的流行情況
2.1 中國的胃癌發病情況
從2018年到2022年GLOBOCAN報道數據(表2)看,中國胃癌總體的CIR和ASIR均呈降低趨勢(至2022年時其CIR為25.4/10萬、ASIR為13.7/10萬),其降幅明顯超過全球降幅,但仍均高于全球水平(CIR為12.3/10萬、ASIR為9.2/10萬);其中男性和女性胃癌的CIR和ASIR與總體呈現相似的降低趨勢,雖然其男女比差異有輕微地縮小,但男性的CIR和ASIR仍分別是女性的2.1倍和2.3倍,我國男女性別差異較全球差異更大。至2022年,中國新發胃癌病例數為35.8萬例(占全國所有惡性腫瘤的7.4%),雖呈下降趨勢但仍高于全球胃癌占所有惡性腫瘤比例(4.9%),按此順位排名降至第5位,并且中國新發胃癌在全球占比從2018年的44.1%降至2022年的37.0%;男性和女性按新發病例數順位排名分別保持在第4位和第6位。
2.2 中國的胃癌死亡情況
結果見表2。從表2可見,從2018年到2022年,中國胃癌總體的CMR和ASMR均呈持續降低趨勢(至2022年時其CMR為18.4/10萬、ASMR為9.4/10萬),其降幅明顯超過全球降幅,但仍均高于全球水平(CMR為8.4/10萬、ASMR為6.1/10萬);其中男性和女性胃癌的CMR和ASMR與總體情況呈現相似的降低趨勢;其男女比差異有所增大,男性的CMR和ASMR仍分別是女性的2.2倍和2.6倍,男女差異明顯較全球差異更大。至2022年我國胃癌死亡病例數(26.0萬例)順位排名降至第3位,男性和女性按胃癌死亡病例數順位排名分別保持在第3位和第4位;我國胃癌死亡病例占全國所有惡性腫瘤的10.1%,雖呈下降趨勢但仍高于全球胃癌死亡病例占所有惡性腫瘤占比(6.8%);我國胃癌占全球所有胃癌死亡的比例從2018年的49.9%降至2022年的39.5%。中國的總體、男性、女性胃癌人群PMI均呈逐步降低趨勢,其中總體PMI從2018年的46.1%降至2022年的42.0%,但至2022年時仍高于全球PMI指數(40.6%)。
我國胃癌ASMR分布存在一定地域差異,按男女性別ASMR地域分布特征大致趨同(表3),西部地區特別是青藏高原地區胃癌死亡負擔最重,包括西藏自治區、青海省、甘肅省、寧夏回族自治區,此外中東部地區的山西省、安徽省、福建省的ASMR亦較高。
3 2022年全球和中國年齡別胃癌的流行病學現狀
3.1 年齡別胃癌發病情況
全球和中國的胃癌ASIR及其累積風險(cumulative risk,CR)均呈現出高度的年齡相關性,即隨著年齡組別的增大ASIR及其CR隨之增高(表4、圖2a)。以ASIR>10/10萬為高發病率拐點,全球總體、男性、女性均在≥50歲時進入高發病率階段;中國總體、男性則在≥45歲時進入高發病率階段,而中國女性仍是在≥50歲時進入高發病率階段。中國各年齡別的總體、男性、女性ASIR均高于全球相應ASIR水平,進入高發病率年齡階段后中國ASIR高于全球ASIR的幅度隨年齡增大進一步擴大;同樣其CR也呈相同的對比關系。此外,無論是全球還是中國,各年齡段的男性ASIR均高于女性ASIR,進入高發病率年齡階段后男性ASIR高于女性ASIR的幅度且隨年齡增大進一步擴大。
圖2
示全球及中國各年齡別總體、男性、女性的胃癌ASIR(a)、ASMR(b)、PMI(c)及中國-全球PMI比率(d)的折線圖
3.2 年齡別胃癌死亡情況
相似地,全球和中國的胃癌ASMR及其CR均呈現出高度的年齡相關性,即隨著年齡的增大ASMR及其CR隨之增高(表5、圖2b)。以ASMR>10/10萬為高死亡率拐點,全球總體、男性、女性分別在≥55歲、≥50歲、≥60歲時進入高死亡率階段;中國總體、男性、女性則分別在≥50歲、≥50歲、≥60歲時進入高死亡率階段。中國各年齡別的總體、男性、女性ASMR均高于全球相應ASMR水平,進入高死亡率年齡階段后中國ASMR高于全球ASMR的幅度隨年齡增大進一步擴大;同樣其CR也呈相同的對比關系。此外,無論全球或中國角度,各年齡段的男性ASMR均高于女性ASMR,進入高發病率年齡階段后男性ASMR高于女性ASMR的幅度隨年齡增大進一步擴大。基于ASIR和ASMR測算PMI和中國-全球PMI比率,中國總體、男性、女性胃癌PMI在≥70歲、≥65歲、≥70歲時PMI超過40%(圖2c),中國總體、男性、女性胃癌PMI分別在≥60歲、≥60歲、≥65歲時高于全球相應PMI(圖2d)。
4 討論
本研究收集分析了2018年、2020年、2022年GLOBOCAN癌癥登記中胃癌相關流行病學數據。與全球胃癌發病和死亡情況比較,雖然我國胃癌發病率和死亡率均呈持續降低趨勢,但是新發和死亡例數仍是全球首位,是我國重要的癌癥疾病負擔之一。同樣,從PMI評估結果來看,我國的胃癌病例病死風險呈下降趨勢,但仍高于全球水平。HDI、GNI、地區分布、性別、年齡是影響胃癌發病和病死風險的相關因素。
自20世紀60年代末,我國啟動了癌癥防治相關工作并取得長足進步,但癌癥人群發病率和死亡率仍居高不下[5]。《“健康中國2030”規劃綱要》提出強化全民覆蓋的重大疾病防治公共衛生服務,期望到2030年總體癌癥5年生存率提高15%[11]。但從本研究結果看,我國胃癌防治仍面臨極大的壓力與挑戰。癌癥防治是一項極為體系性的工作,我國胃癌防治主要的發力點為全人群癌防健康意識、基層三級預防體系建設、規模性人群篩查項目支撐、系統性高危人群監測、規范化癌癥診療技術推廣、全生命周期患者管理與照護等方面,均有待持續發力加強。例如四川大學華西醫院與韓國延世大學的胃癌外科病例登記數據庫頭對頭比較分析發現,2006–2010年期間我國和韓國的5年總體生存率分別為54.3%和81.4%,其中TNM分期Ⅰ期分別為20.6%和58.8%,TNM分期Ⅳ期接受手術者分別為10.6%和2.9%[12]。可見以上不足導致的突出結構性問題為我國胃癌的早期構成比和規范化診療普及性不高,時至今日它仍為主要突出矛盾[13-14]。
從胃癌病因和危險因素管理角度來看,胃癌發病具有多因素致病的特點,主要包括幽門螺桿菌(Helicobacter pylori,Hp)感染、特定的飲食習慣、不良生活方式、相關病史、遺傳因素等[15]。因此,胃癌的一級預防也具有復雜性、綜合性的特點與困難[16]。Hp是WHO認定的胃癌的一類致病微生物,規模性人群篩查和根除治療對系統性預防胃癌具有重要作用[11],但目前我國尚未建立有組織的規模性人群Hp篩查與根除項目[17]。從城市健康體檢人群的橫斷面序列研究發現來看,以四川大學華西醫院為例,2009–2021年期間Hp的現患率從53.1%降至30.7%,而且Hp現患率高峰年齡從50~59歲段遷移到60~69歲段[18]。即使對于早期胃癌在內鏡治療后,篩查和根除治療Hp感染同樣可降低異時性胃癌和癌前病變的風險[19]。城市人群的Hp控制呈良好發展態勢,但農村人口的研究數據相對較少,總體來看癌癥死亡率和生命損失年數率均是農村地區高于城市地區[20]。同時少數民族地區如藏族人群的Hp現患率仍然較高,應進一步個體化設計人群Hp篩查和根除治療的規劃[21-22]。此外,研究發現致癌病毒Epstein-Barr病毒、乙型肝炎病毒、人類巨細胞病毒、人類乳頭瘤病毒、John Cunningham病毒與胃癌發病風險存在相關性,在胃癌預防和篩查策略中應進一步關注[23-25]。家族性胃癌史是胃癌的高危因素,可能與多因素共暴露相關,如Hp感染率增高、攜帶CDH1基因突變等[26]。遺傳性彌漫性胃癌是一種常染色體顯性遺傳疾病,CDH1等基因突變為早期預測相關暴露因子[27]。但對攜帶CDH1基因突變的高風險對象,實施預防性全胃切除作為一級預防技術的理論體系尚需健全,實踐經驗尚需積累,還有不少的科學問題需要探究[28]。
胃癌疾病負擔的增加與西方生活方式相關,如肥胖、體力活動不足、高膽固醇、吸煙等。在對中國23個潛在可改變危險因素對癌癥負擔造成的差異比較中,除以上因素外還加上了加工肉類和泡菜的攝入[29]。我國胃癌死亡分布存在一定的地域差異[10],按男女性別的ASMR地域分布特征大致趨同,西部地區特別是青藏高原地區胃癌死亡負擔最重,此外中東部地區的少數省份胃癌死亡負擔亦重。近年來中國大部分地區的胃癌死亡率大幅度下降,但農村地區的下降幅度低于城市地區[10]。不同省份地區的差異與經濟發展不平衡、醫療衛生資源水平參差不齊有關,也有部分可以用相關危險因素來解釋。從各省胃癌相關危險因素的人口歸因分數(population-attributable fractions,PAF)來看,男性在西藏自治區、甘肅省、青海省、河南省、安徽省的Hp感染PAF較高,福建省、浙江省、貴州省食用泡菜的PAF較高,海南省、湖南省、重慶市食用加工肉類的PAF較高;女性在西藏自治區、甘肅省、青海省的Hp感染PAF較高,貴州省、福建省、浙江省食用泡菜的PAF較高,重慶市、西藏自治區、湖南省食用加工肉類的PAF較高[29]。
日本作為全球胃癌癌癥負擔最重的國家之一,從1983年已將胃癌篩查計劃作為一項在全國范圍實施的公共政策,日本政府根據修訂指南的建議在2016年引入胃癌內鏡篩查作為公共衛生政策[30]。為保證社區胃癌內鏡篩查質量,日本還制定了內鏡檢查的質量保證手冊[31],為避免頻繁檢查,以減少假陽性結果和過度診斷,建議目標年齡組為≥50歲,篩查間隔為2年,將活檢率保持在10%以內。日本通過保證內鏡篩查的質量在全國范圍內有效地推行以人群為基礎的篩查,降低胃癌的死亡率。韓國國家癌癥篩查計劃[32]每2年為≥40歲的成人提供上消化道序列檢查或上消化道內鏡檢查,對胃癌篩查結果發現,與從未篩查過的胃癌患者相比,曾經篩查過的胃癌患者長期生存率顯著改善,且其死于胃癌的風險降低了33%[32]。日本、韓國把胃癌篩查作為全國性的篩查項目,政府為特定年齡段的人群補貼以提供篩查[33]。目前,我國國家層面的癌癥防治政策制定還有待進一步優化,建議加快制定與完善供給型和需求型政策工具,增加癌癥防治政策的拉力與推力,使政策工具各方面平衡協調銜接與減少碎片化,逐步推進我國癌癥防治事業的高質量發展[34]。
自2005年以來,我國已在多地陸續試點開展了上消化道癌篩查項目[35],篩查項目是選擇在一些高危險地區展開的。國家上消化道早診早治項目針對高風險農村地區符合納入標準人群進行上消化道內鏡檢查[36]。中國城市癌癥篩查項目重點關注城市地區的5種流行癌癥,包括肺癌、乳腺癌、結直腸癌、上消化道癌癥(胃癌和食管癌)和肝癌,最初覆蓋9個省。每個省市自治區最終會有10 000人接受上消化道癌癥篩查[37]。相比日本和韓國,我國胃癌篩查的覆蓋面較窄,無法做到全國性的篩查,這是由于我國國土面積遼闊、人口基數大,醫療資源和成本有限、非高風險人群接受度低等原因導致的。對于胃癌篩查的早診早治方針也有需要大規模前瞻性研究來進行細化的地方,比如胃癌篩查的起止年齡,篩查與檢測間隔,如何提高早期胃癌的發現率、降低漏診率。此外,我國還缺乏完整、完善的胃癌篩查質量控制和評價考核體系,管理仍相對較為粗放,缺少有效的信息化管理手段。
目前我國國家衛生健康委員會最新發布的胃癌篩查與早診早治方案[15]中,高風險人群的定義標準為年齡+高危因素,即年齡≥45歲且符合以下任意1項:① 居住于胃癌高發地區(以縣級行政區為單位界定,以2000年中國人口結構為標準的ASIR>20/10萬);② 父母、子女、兄弟姐妹等親屬中有胃癌病史;③ 尿素呼氣試驗、血清Hp抗體、糞便Hp抗原檢測任一陽性;④ 吸煙、重度飲酒、高鹽飲食、腌制食品等不良生活方式和飲食習慣;⑤ 患有慢性萎縮性胃炎、胃潰瘍、胃息肉、手術后殘胃、肥厚性胃炎、惡性貧血等疾病。胃癌篩查推薦內鏡檢查,對發現的可疑病灶采用特殊內鏡技術檢查并進行活檢,不能耐受常規內鏡檢查者可進行麻醉/鎮靜內鏡或經鼻超細內鏡檢查,也可考慮使用磁控膠囊胃鏡。胃癌高風險人群原則上每5年進行1次內鏡檢查,以下情況建議縮短篩查間隔:局限于胃竇或胃體的萎縮性胃炎或腸上皮化生患者,每3年進行1次內鏡檢查;萎縮累及胃底或全胃,每年進行1次內鏡檢查;低級別上皮內瘤變每年進行1次內鏡檢查;高級別上皮內瘤變每3~6個月進行1次內鏡檢查。此外,血清學等檢測(如胃蛋白酶原-Ⅰ/-Ⅱ、胃泌素-17等)不建議單獨作為篩查項目,但可以作為內鏡篩查的前置檢測[38-39],序貫篩查方案的設計尚需進一步研究其有效性和經濟性[40]。其他傳統血清學腫瘤標志物[41-42]或新型檢測如體液活檢[43]等尚不作為指南推薦,但仍有繼續深入研究的科學價值。雖然從國家衛生健康委員會層面發布了胃癌篩查與早診早治方案,但方案仍需不斷優化以提高檢出率和效果成本比。
目前縣區級及以上醫療機構已較為普遍地開展了健康體檢業務,下一步應加強的是從健康體檢業務向健康管理事業發展。以縣區癌癥防治中心為牽頭機構,推動已開展了健康體檢業務的醫療機構落實上述篩查方案,提高胃癌高危人群識別的專業化水平,構建屬地化胃癌高危人群隊列并加強全周期的疾病監測[44]。其中信息化促進基層癌防工作體系化、智慧化是新質生產力的重要表現之一[45],例如區塊鏈技術應用于跨機構間體檢、門診、住院數據的互聯互通和分布式存儲,胃癌高危人群的人工智能識別、大數據隊列精細化管理等。進一步可通過將地市州癌防體系建設與互聯互通信息化建設相結合[46],按照“互聯互通、數據治理、應用挖掘”路徑,支持建立癌癥及其高危人群的人群隊列,加強全生命周期服務與管理,同時加強有組織的隨訪和科學觀察。四川省城市癌癥早診早治項目研究顯示,人群癌癥高危率較高,臨床篩查依從性較好,通過篩查可及早發現癌前病變和早期癌癥患者,但男性或老齡群體的癌防普及尚需加強[47]。
5 總結
與全球胃癌發病和死亡情況比較,雖然我國胃癌發病率和死亡率均呈持續降低趨勢,但是新發和死亡例數仍居全球首位,是我國重要的癌癥疾病負擔之一。同樣,以PMI評估來看,我國的胃癌病例病死風險呈下降趨勢,但仍高于全球水平。HDI、GNI、地區分布、性別、年齡是影響胃癌發病和病死風險的相關因素。我國胃癌防治主要的發力點應聚焦全人群癌防健康意識、基層三級預防體系建設、規模性人群篩查項目支撐、系統性高危人群監測、規范化癌癥診療技術推廣、全生命周期患者管理與照護等方面。
重要聲明
利益沖突聲明:本文全體作者閱讀并理解了《中國普外基礎與臨床雜志》的政策聲明,均沒有相互競爭的利益沖突。
作者貢獻聲明:李茁鈺負責數據收集、分析、解釋,以及論文撰寫;劉凱、張維漢負責學術指導和分析解釋;陳心足為 SIGES 項目組主要負責人,負責項目立項、分析解釋、論文撰寫,以及學術指導;胡建昆負責學術指導與學術監督。
志謝
感謝“四川地區胃癌早期檢測和篩查策略研究項目”(Sichuan Gastric Cancer Early Detection and Screening Research Program,SIGES)的支持,以及感謝四川大學醫學生科研社團“華西胃癌外科志愿者團隊”(Volunteer Team of Gastric Cancer Surgery of West China Hospital,Sichuan University)所有成員對SIGES項目相關研究的貢獻。

